|
|
Overenie pravosti kocky
Často sme na štatistike dostávali
príklad na kontrolu pravosti hracej kocky. Našou úlohou
bolo zistiť, či na kocke padajú všetky čísla rovnako
často. Áno, zdá sa to byť triviálne. Dokonca sa
hovorí, že po istom čase hádzania kockou sa
prejaví
pravdepodobnosť a všetky čísla budú rovnako
zastúpené. Je to ale tak aj v skutočnosti?
Nedalo mi to a vyskúšal som, ako to
dopadne naozaj. Totiž žiadna
kocka nie
je dokonalá a pravdepodobnosť s realitou
tiež nezvykne úplne súhlasiť. Našiel som dve, na
pohľad
rovnaké kocky, ktoré sú odlišné iba farbou.
To je nakoniec dobre, lebo sa dajú ľahko rozoznať. Ako
štatisticky dostatočnú vzorku sme stanovili 180 hodov pre
každú kocku za čo najviac zhodných podmienok. Na pomoc
sme si zobrali počítač a hodnoty zaznamenávali do
tabuľky. Spracovanie výsledkov prebehlo štatistickou
metódou, tzv. Pearsonovým
testom dobrej zhody.
Čo to vlastne znamená? Ako som spomínal,
skutočnosť sa zvykne líšiť od teoretického
ideálneho stavu. Takže povedzme po 60 hodoch by malo
padnúť 10 jednotiek, 10 dvojok a tak ďalej. Test dobrej zhody
nám pomáha určiť, o koľko môže byť skutočný
stav iný, ako ideálny predpokladaný, aby sme
stále mohli s určitou istotou povedať, že naša úvaha je
správna.
Príliš hlboko do teórie nepôjdem,
pretože to tu asi nemá veľký význam a
priznám sa, ani si na to celkom netrúfam. Ale aspoň
popíšem, čo sa s číslami deje, keď sa vyhodnocuje
úloha podobného typu.
Omega v stĺpci "K"
obsahuje možné výsledky. V stĺpci "L"
je skutočný počet padnutých čísel. "M" predstavuje
predpokladanú pravdepodobnosť. Pri kocke sa jedná o rovnomerné
rozdelenie, čiže každé číslo má
rovnakú šancu padnúť. Existujú však aj
mnohé iné rozdelenia - veľmi časté gaussovo,
alebo exponenciálne,
binomické,
poissonovo,...
Stĺpec "N" predstavuje, koľko krát by v ideálnom
prípade malo padnúť každé číslo.
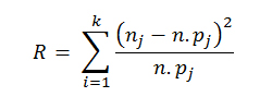
Posledný stĺpec určuje odchýlku reálnej hodnoty od
predpokladanej podľa vzorca:
Parameter R
porovnávame s intervalom W
(v spodnej časti tabuľky). Rozsah W
dostaneme nasledovne - určíme
hodnotu rozdelenia X² (tzv. chí
kvadrát). Získa sa najľahšie z tabuliek.
Prvý člen je podľa vzorca k -
m - 1, kde k je počet
tried (zo stĺpca "K", čiže 6) a m
je počet neznámych parametrov rozdelenia (pre nás 0, ale
napr. v gaussovom rozdelení nemusíme poznať
skutočnú strednú hodnotu, potom m = 1). Druhý člen je
kritérium hodnotenia. Teda ako prísne porovnávame
predpoklad so skutočnosťou. Predstavuje,
s akou mierou rizika môže byť náš záver
nesprávny. Najčastejšie sa uvažuje hodnota 5% alebo 1%.
Získame ho teda ako 1 - alfa,
(v našom prípade 1 - 0,05).
Konečne sa teda dostávame k samotnému
intervalu W. Je zdola
ohraničený hodnotou "chí
kvadrát" (hodnota z tabuliek 11,07) a zhora pokračuje až
do nekonečna. Ak predtým vypočítaný parameter R leží v tomto intervale,
pôvodný predpoklad zamietame, je teda na 95%
nepravdivý. Ak hodnota leží mimo intervalu, je tvrdenie
na 95% pravdivé.
Z
nami realizovaného pokusu vyšlo, že inak zhodné kocky
(červená
a zelená) sú úplne rozdielne pri
hádzaní. Zelená
je regulárna, ale
červená je falošná. Môžete si to
porovnať v priloženej excelovskej
tabuľke. Prípadne si môžete otestovať vlastnú
kocku. A úplne ideálne by
bolo, keby ste nám dali vedieť,
ako dopadla. Môžeme si tak vytvoriť
porovnanie viacerých výsledkov.
|
|

veľkosť súboru:
20 kB
počet stiahnutí
Poďakovanie:
Patrí Braniacovi, ktorý
realizoval psychicky a časovo najnáročnejšiu časť pokusu.
Hádzal kockami a zapisoval čísla, aby bolo čo
vyhodnocovať.
|